학습 목표
· 그래프(Graph)란?
· 트리(Tree)란?
· 서로소 집합
- 서로소 집합 자료구조
- 문제점
- find 함수 개선: 경로 압축 기법
- 서로소 집합을 활용한 사이클 판별
· 신장 트리(Spanning Tree)
- 최소 신장 트리 알고리즘
- 크루스칼 알고리즘
· 위상 정렬
· DFS/BFS, 최단 경로 알고리즘은 그래프 알고리즘의 한 유형
· 크루스칼 알고리즘 - 그리디 알고리즘, 위상 정렬 알고리즘 - 큐 자료 구조 or 스택 자료구조를 활용하여 구현
그래프(Graph)란?
· 노드(Node)와 노드 사이에 연결된 간선(Edge)의 정보를 가지고 있는 자료구조
· 그래프를 구현하는 2가지 방식:
1. 인접 행렬(Adjacency Matrix): 2차원 배열을 사용하는 방식
ex) 플로이드 워셜 알고리즘에서 이용
2. 인접 리스트(Adjacency List): 리스트를 사용하는 방식
ex) 우선순위 큐를 이용하는 다익스트라 알고리즘에서 이용
· 그래프 구현 방식에 따라 메모리와 속도 측면에서 구별되는 특징이 있음
- 노드의 개수가 V, 간선의 개수가 E인 그래프의 경우:
| 인접 행렬 | 인접 리스트 | |
| 간선 정보를 저장하는 메모리 공간 | O(V^2) | O(E) |
| 특정 노드 A에서 다른 노드 B로 이어진 간선의 비용 측정 |
O(1) | O(V) |
· 알고리즘 문제에서 '서로 다른 개체가 연결되어 있다'고 하면, 가장 먼저 그래프 알고리즘을 떠올리기
ex) 여러 개의 도시가 연결되어 있다
트리(Tree)란?
· 그래프의 일종으로 노드(정보의 단위)와 노드 사이에 하나의 간선만 존재하는 계층형 자료구조 (https://scshim.tistory.com/380)
· 다양한 알고리즘에서 사용되므로 꼭 기억하기
ex) 다익스트라 최단 경로 알고리즘의 우선순위 큐 구현에 사용하는 최소 힙, 최대 힙은 트리 자료구조
· 그래프 vs 트리
| 그래프 | 트리 | |
| 방향성 | 방향 그래프 혹은 무방향 그래프 | 방향 그래프 (전통 수학에서는 무방향으로 간주) |
| 순환성 | 순환 및 비순환 | 비순환 |
| 루트 노드 존재 여부 | 루트 노드가 없음 | 루트 노드가 존재 |
| 노드간 관계성 | 부모와 자식 관계가 없음 | 부모와 자식 관계 |
| 모델의 종류 | 네트워크 모델 | 계층 모델 |
서로소 집합
· 공통 원소가 없는 두 집합

서로소 집합 자료구조
· 서로소 집합 자료구조는 몇몇 그래프 알고리즘에서 매우 중요하게 사용됨
· 서로소 부분 집합들로 나누어진 원소들의 데이터를 처리하기 위한 자료구조
· 두 집합이 서로소 관계인지 확인 == 각 집합이 어떤 원소를 공통으로 가지고 있는지 확인
· union-find 자료구조라고 불림
· 서로소 집합 자료구조는 union과 find 2 가지 연산으로 조작함
· union: 2개의 원소가 포함된 집합을 하나의 집합으로 합치는 연산
· find: 특정한 원소가 속한 집합이 어떤 집합인지 알려주는 연산
· 트리 자료구조를 이용하여 집합을 표현
· 서로소 집합 정보(합집합 연산)가 주어졌을 때 트리 자료구조를 이용해서 집합을 표현하는 서로소 집합 계산 알고리즘:
1. union(합집합) 연산을 확인하여, 서로 연결된 두 노드 A, B를 확인
1) A와 B의 루트 노드 A', B'를 각각 찾음
2) A'를 B'의 부모 노드로 설정(B'가 A'를 가리키도록 힘)
2. 모든 union(합집합) 연산을 처리할 때까지 1번 과정을 반복
· 실제로 구현할 때 A와 B 중에서 더 번호가 작은 원소가 부모 노드가 되도록 구현하는 경우가 많으므로, 그러한 구현 방식을 따름
ex) A가 1이고, B가 3이라면 B가 A를 가리키도록 설정
'가리킨다'는 표현은 부모 노드로 설정한다는 의미
B가 A를 부모 노드로 설정하는 것을 그래프로 시작화 -> B와 A를 간선으로 연결하는 형태의 그래프
▶ 예시 - 서로소 집합 계산 알고리즘의 동작 방식 이해하기
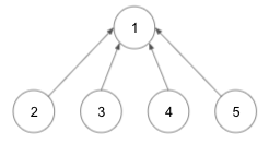
전체 집합: 6개의 원소 {1, 2, 3, 4, 5, 6}
주어진 연산: union 1, 4 / union 2, 3 / union 2, 4 / union 5, 6
· 위의 4가지 union 연산들의 의미: 1과 4는 같은 집합, 2와 3은 같은 집합, 2와 4는 같은 집합, 5와 6은 같은 집합
· union 연산의 각 원소는 그래프의 노드로, '같은 집합에 속한다' 정보를 담은 union 연산들은 간선으로 표현
- 즉, 6개의 노드와 4개의 간선이 존재하는 그래프로 바꾸어 생각 가능

· 위 그림을 보면 전체 원소가 {1, 2, 3, 4}와 {5, 6} 두 집합으로 나누어짐
- 노드 3에서 1은 간접적으로 연결되어 이동할 수 있어 같은 집합으로,
노드 1과 노드 5는 서로 연결되어 있지 않기 때문에 서로 다른 집합으로 볼 수 있음
· 이렇게 union 연산을 토대로 그래프를 그리면 '연결성'을 손쉽게 집합의 형태로 확인할 수 있음
▶ 예시 - 서로소 집합 계산 알고리즘의 동작 방식 단계별로 알아보기
· union 연산을 하나씩 확인하면서 서로 다른 두 원소에 대해 합집한(union) 수행할 때는,
각각의 루트 노드를 찾아서 더 큰 노드가 더 작은 노드를 가리키도록 함
step 0. 가장 먼저 노드의 개수(V) 크기의 부모 테이블을 자기 자신을 부모로 가지도록 초기화한다.
부모 테이블에는 특정한 노드의 부모에 대한 정보를 저장하고, 루트를 확인할 때는 재귀적으로 부모를 거슬러 올라가 찾는다.

| 노드 번호 | 1 | 2 | 3 | 4 | 5 | 6 |
| 부모 | 1 | 2 | 3 | 4 | 5 | 6 |
step 1. union 1, 4
union 연산을 확인하고, 1과 4를 합친다. 노드 1과 노드 4의 루트 노드를 각각 찾고,
현재 루트 노드는 각각 1과 4이므로 더 큰 번호인 루트 노드 4의 부모를 1로 설정한다.

| 노드 번호 | 1 | 2 | 3 | 4 | 5 | 6 |
| 부모 | 1 | 2 | 3 | 1 | 5 | 6 |
step 2. union 2, 3
union 연산을 확인하고, 2와 3를 합친다. 노드 2과 노드 3의 루트 노드를 각각 찾고,
현재 루트 노드는 각각 2와 3이므로 더 큰 번호인 루트 노드 3의 부모를 2로 설정한다.

| 노드 번호 | 1 | 2 | 3 | 4 | 5 | 6 |
| 부모 | 1 | 2 | 2 | 1 | 5 | 6 |
step 3. union 2, 4
union 연산을 확인하고, 2와 4를 합친다. 노드 2과 노드 3의 루트 노드를 각각 찾고,
현재 루트 노드는 각각 2와 1이므로 더 큰 번호인 루트 노드 2의 부모를 1로 설정한다.

| 노드 번호 | 1 | 2 | 3 | 4 | 5 | 6 |
| 부모 | 1 | 1 | 2 | 1 | 5 | 6 |
step 4. union 5, 6
union 연산을 확인하고, 5와 6을 합친다. 노드 5와 노드 6의 루트 노드를 각각 찾고,
현재 루트 노드는 각각 5와 6이므로 더 큰 번호인 루트 노드 6의 부모를 5로 설정한다.

| 노드 번호 | 1 | 2 | 3 | 4 | 5 | 6 |
| 부모 | 1 | 1 | 2 | 1 | 5 | 5 |
▶ 예시 - 기본적인 서로소 집합 알고리즘 소스코드
/*
입력 예시
6 4
1 4
2 3
2 4
5 6
*/
public class 서로소집합알고리즘 {
public static void main(String[] args){
Scanner sc = new Scanner(System.in);
//노드의 개수와 간선(union 연산)의 개수 입력받기
int v = sc.nextInt();
int e = sc.nextInt();
//부모테이블을 생성하고, 부모를 자기 자신으로 초기화
int []parent = new int[v+1];
IntStream.range(1,v+1).forEach(i->parent[i]=i);
서로소집합알고리즘 disjointset = new 서로소집합알고리즘();
//union 연산을 각각 수행
for(int i=1; i<e; i++){
int a = sc.nextInt();
int b = sc.nextInt();
disjointset.unionParent(parent,a,b);
}
//각 원소가 속한 집합 출력
System.out.print("각 원소가 속한 집한: ");
for(int i=1; i<=v; i++)
System.out.print(disjointset.findParent(parent, i) + " ");
System.out.println();
//부모 테이블 내용 출력
System.out.print("부모 테이블: ");
for (int i = 1; i <= v; i++)
System.out.print(parent[i] + " ");
}
//특정 원소가 속한 집합 찾기
private int findParent(int[] parent, int x){
//루트 노드가 아니라면, 루트 노드를 찾을 떄까지 재귀적으로 호출
if(parent[x] != x) return findParent(parent, parent[x]);
return x;
}
//두 원소가 속한 집합 합치기
private void unionParent(int[] parent, int a, int b){
a = findParent(parent, a);
b = findParent(parent, b);
if (a < b) parent[b] = a;
else parent[a] = b;
}
}

· 1부터 6까지 각 원소의 루트 노드가 1, 1, 1, 1, 5, 5라는 의미
- 즉, 전체 원소가 {1, 2, 3, 4}와 {5, 6}으로 나누어짐
문제점
· 비효율적으로 동작하는 find 함수
- 최악의 경우 모든 노드를 전부 확인 -> 시간 복잡도 O(V)
ex) 아래의 경우 노드 5의 루트를 찾기 위해서 '노드5 -> 4 -> 3 -> 2 ->1' 순서로 부모를 거슬러 올라가므로, 최대 O(V)의 시간 소요

| 노드 번호 | 1 | 2 | 3 | 4 | 5 |
| 부모 | 1 | 1 | 2 | 3 | 4 |
- 노드의 개수가 V개이고 find 혹은 union 연산의 개수가 M개일 때, 전체 시간 복잡도는 O(VM)
find 함수 개선: 경로 압축 기법
· find 함수에 경로 압축 기법을 적용하여 시간 복잡도 개선 가능
· 경로 압축: find 함수를 재귀적으로 호출한 뒤 부모 테이블값을 갱신하는 기법
▶ 예시 - 경로 압축 기법 소스코드
private int findParent(int[] parent, int x){
if(parent[x] != x)
parent[x] = findParent(parent, parent[x]);
return parent[x];
}
· 위 코드에서는 각 노드에 대하여 find 함수를 호출한 이후에, 해당 노드의 루트 노드가 바로 부모 노드가 됨
ex) {1,2,3,4,5}의 원소가 존재하고, union 연산이 순서대로 {4, 5}, {3, 4}, {2, 3}, {1, 2}와 같이 주어지면
모든 union 함수를 처리한 후 각 원소에 대하여 find 함수를 수행하면 다음과 같이 부모 테이블이 형성됨

| 노드 번호 | 1 | 2 | 3 | 4 | 5 |
| 부모 | 1 | 1 | 1 | 1 | 1 |
▶ 예시 - 개선된 서로소 집합 계산 알고리즘
/*
입력 예시
6 4
1 4
2 3
2 4
5 6
*/
public class 서로소집합알고리즘 {
public static void main(String[] args){
Scanner sc = new Scanner(System.in);
//노드의 개수와 간선(union 연산)의 개수 입력받기
int v = sc.nextInt();
int e = sc.nextInt();
//부모테이블을 생성하고, 부모를 자기 자신으로 초기화
int []parent = new int[v+1];
IntStream.range(1,v+1).forEach(i->parent[i]=i);
서로소집합알고리즘 disjointset = new 서로소집합알고리즘();
//union 연산을 각각 수행
for(int i=1; i<e; i++){
int a = sc.nextInt();
int b = sc.nextInt();
disjointset.unionParent(parent,a,b);
}
//각 원소가 속한 집합 출력
System.out.print("각 원소가 속한 집한: ");
for(int i=1; i<=v; i++)
System.out.print(disjointset.findParent(parent, i) + " ");
System.out.println();
//부모 테이블 내용 출력
System.out.print("부모 테이블: ");
for (int i = 1; i <= v; i++)
System.out.print(parent[i] + " ");
}
//특정 원소가 속한 집합 찾기
private int findParent(int[] parent, int x){
// 루트 노드가 아니라면, 루트 노드를 찾을 때까지 재귀적으로 호출
if(parent[x] != x)
parent[x] = findParent(parent, parent[x]);
return parent[x];
}
//두 원소가 속한 집합 합치기
private void unionParent(int[] parent, int a, int b){
a = findParent(parent, a);
b = findParent(parent, b);
if (a < b) parent[b] = a;
else parent[a] = b;
}
}

· 노드의 개수가 V개, 최대 V-1개의 union 연산과 M개의 find 연산이 가능할 때 경로 압축 방법을 적용한 시간 복잡도:

서로소 집합을 활용한 사이클 판별
· 서로소 집합은 다양한 알고리즘에서 사용될 수 있고, 특히 무방향 그래프 내에서의 사이클을 판별할 때 사용할 수 있음
- 방향 그래프에서 사이클 여부는 DFS를 이용하여 판별할 수 있음
· union 연산은 그래프에서의 간선으로 표현될 수 있으므로,
간선을 하나씩 확인하면서 두 노드가 포함되어 있는 집합을 합치는 과정을 반복하는 것으로 사이클을 판별할 수 있음
- 각 간선을 확인하며 두 노드의 루트 노드를 확인
1. 루트 노드가 서로 다르다면 두 노드에 대하여 union 연산을 수행
2. 루트 노드가 서로 같다면 사이클(Cycle)이 발생할 것
- 그래프에 포함되어 있는 간선에 대하여 1번 과정을 반복
▶ 예시 - 그래프의 사이클을 판별하는 과정
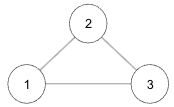
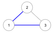
Step 0. 초기 단계에서는 모든 노드에 대하여 자기 자신을 부모로 설정하는 형태로 부모 테이블을 초기화한다.

| 인덱스 | 1 | 2 | 3 |
| 부모 | 1 | 2 | 3 |
Step 1. 간선 (1, 2)을 확인한다. 노드 1과 노드 2의 루트 노드는 각각 1과 2이므로,
더 큰 번호를 갖는 노드 2의 부모 노드를 1로 변경한다.

| 인덱스 | 1 | 2 | 3 |
| 부모 | 1 | 1 | 3 |
Step 2. 간선 (1, 3)을 확인한다. 노드 1과 노드 3의 루트 노드는 각각 1과 3이므로,
더 큰 번호를 갖는 노드 3의 부모 노드를 1로 변경한다.

| 인덱스 | 1 | 2 | 3 |
| 부모 | 1 | 1 | 1 |
Step 3. 간선 (2, 3)을 확인한다. 노드 2과 노드 3이 이미 루트 노드로 '노드 1'을 가지고 있으므로,
사이클이 발생한다는 것을 알 수 있다.

▶ 예시 - 서로소 집합을 활용한 사이클 판별 소스코드
· 그래프에 포함되어 있는 간선의 개수가 E일 때 모든 간선을 하나씩 확인하며,
매 간선에 대하여 union 및 find 함수를 호출하는 방식으로 동작함
// 서로소 집합을 활용한 사이클 판별 소스코드
public class UnionFindCycleDetetion {
public static void main(String []args){
Scanner sc = new Scanner(System.in);
//노드의 개수와 간선(union 연산)의 개수 입력받기
int v = sc.nextInt();
int e = sc.nextInt();
//부모테이블을 생성하고, 부모를 자기 자신으로 초기화
int []parent = new int[v+1];
IntStream.range(1,v+1).forEach(i->parent[i]=i);
boolean cycle = false; //사이클 발생 여부
UnionFindCycleDetetion algorithm = new UnionFindCycleDetetion();
for(int i=1; i<e; i++){
int a = sc.nextInt();
int b = sc.nextInt();
//사이클이 발생한 경우 종료
if (algorithm.findParent(parent, a) == algorithm.findParent(parent, b)){
cycle = true;
break;
}else { //사이클이 발생하지 않았다면 합집합(union) 수행
algorithm.unionParent(parent, a, b);
}
}
if (cycle) System.out.println("사이클이 발생했습니다.");
else System.out.println("사이클이 발생하지 않았습니다.");
}
//특정 원소가 속한 집합을 찾기
private int findParent(int[] parent, int x){
//루트 노드가 아니라면, 루트 노드를 찾을 때까지 재귀적으로 호출
if(parent[x] != x)
parent[x] = findParent(parent, parent[x]);
return parent[x];
}
//두 원소가 속한 집합을 합치기
private void unionParent(int[] parent, int a, int b){
a = findParent(parent, a);
b = findParent(parent, b);
if (a < b) parent[b] = a;
else parent[a] = b;
}
}

신장 트리(Spanning Tree)
· 하나의 그래프가 있을 때. 모든 노드를 포함하면서 사이클이 존재하지 않는 부분 그래프
- 모든 노드가 포함되어 서로 연결되면서 사이클이 존재하지 않는다는 조건은 트리의 성립 조건이기도 함

최소 신장 트리 알고리즘
· 신장 트리 중에서 최소 비용으로 만들 수 있는 신장 트리를 찾는 알고리즘
▶ 예시 - 가능한 최소한의 비용으로 신장 트리 찾기
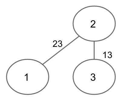
· N개의 도시가 존재하는 상황에서 두 도시 사이에 도로를 놓아 전체 도시가 서로 연결될 수 있게 도로를 설치하는 경우를 생각해보자.
2개 도시 A, B를 선택했을 때, 도시 A에서 도시 B로 이동하는 경로가 반드시 존재하도록 도로를 설치한다.
아래와 같이 3개의 도시가 있고 도시 간 도로를 건설하는 비용은 23, 13, 25인 그래프가 있다고 가정하자.

여기서 노드 1, 2, 3을 모두 연결하는 경우는
1) 23 + 13 = 36
2) 23 + 25 = 48
3) 25 + 13 = 38
이고, 1)의 경우가 최소 비용이다.

· 이처럼 신장 트리 중에서 최소 비용으로 만들 수 있는 신장 트리를 찾는 알고리즘 -> 최소 신장 트리 알고리즘
크루스칼 알고리즘
· 대표적인 최소 신장 트리 알고리즘
· 가장 적은 비용으로 모든 노드를 연결할 수 있음
· 그리디 알고리즘
· 동작 원리:
1. 간선 데이터를 비용에 따라 오름차순으로 정렬
2. 간선을 하나씩 확인하며 현재의 간선이 사이클을 발생시키는지 확인
- 사이클이 발생하지 않는 경우 최소 신장 트리에 포함
- 사이클이 발생하는 경우 최소 신장 트리에 포함시키지 않음
3. 모든 간선에 대하여 2번 과정을 반복
· 시간 복잡도: 알고리즘에서 시간이 가장 오래 걸리는 부분이 간선 정렬이므로, 간선의 개수가 E개일 때 O(ElogE)
▶ 예시 - 크루스칼 알고리즘으로 최소 신장 트리 구하기
Step 0. 초기 단계에서는 그래프의 모든 간선 정보만 따로 빼내어 리스트에 담은 뒤 이를 정렬한다.
가독성을 위해 그림에서는 노드 데이터에 따라 테이블 내에 데이터를 나열했다.

| 간선 | (1, 2) | (1, 5) | (2, 3) | (2, 6) | (3, 4) | (4, 6) | (4, 7) | (5, 6) | (6, 7) |
| 비용 | 29 | 75 | 35 | 34 | 7 | 23 | 13 | 53 | 25 |
Step 1. 첫 번째 단계에서는 가장 짧은 간선을 선택한다. (3, 4)가 선택되고 이것을 집합에 포함한다.
즉, 노드 3과 4에 대하여 union 함수를 수행하고 해당 노드들을 동일한 집합에 속하도록 만든다.

| 간선 | (1, 2) | (1, 5) | (2, 3) | (2, 6) | (3, 4) | (4, 6) | (4, 7) | (5, 6) | (6, 7) |
| 비용 | 29 | 75 | 35 | 34 | 7 | 23 | 13 | 53 | 25 |
| 순서 | Step 1 |
Step 2. 다음으로 비용이 가장 작은 간선인 (4, 7)을 선택한다.
노드 4, 7은 같은 집합에 속해 있지 않으므로, 두 노드에 대하여 union 함수를 호출한다.

| 간선 | (1, 2) | (1, 5) | (2, 3) | (2, 6) | (3, 4) | (4, 6) | (4, 7) | (5, 6) | (6, 7) |
| 비용 | 29 | 75 | 35 | 34 | 7 | 23 | 13 | 53 | 25 |
| 순서 | Step 1 | Step 2 |
Step 3. 다음으로 비용이 가장 작은 간선인 (4, 6)을 선택한다.
노드 4, 6은 같은 집합에 속해 있지 않으므로, 두 노드에 대하여 union 함수를 호출한다.

| 간선 | (1, 2) | (1, 5) | (2, 3) | (2, 6) | (3, 4) | (4, 6) | (4, 7) | (5, 6) | (6, 7) |
| 비용 | 29 | 75 | 35 | 34 | 7 | 23 | 13 | 53 | 25 |
| 순서 | Step 1 | Step 3 | Step 2 |
Step 4. 다음으로 비용이 가장 작은 간선인 (6, 7)을 선택한다.
노드 6, 7은 이미 동일한 집합에 포함되어 있으므로 신장 트리에 포함하지 않는다. 해당 간선은 그림에서 점선으로 표시한다.

| 간선 | (1, 2) | (1, 5) | (2, 3) | (2, 6) | (3, 4) | (4, 6) | (4, 7) | (5, 6) | (6, 7) |
| 비용 | 29 | 75 | 35 | 34 | 7 | 23 | 13 | 53 | 25 |
| 순서 | Step 1 | Step 3 | Step 2 | Step 4 |
Step 5. 다음으로 비용이 가장 작은 간선인 (1, 2)를 선택한다.
노드 1, 2은 같은 집합에 속해 있지 않으므로, 두 노드에 대하여 union 함수를 호출한다.

| 간선 | (1, 2) | (1, 5) | (2, 3) | (2, 6) | (3, 4) | (4, 6) | (4, 7) | (5, 6) | (6, 7) |
| 비용 | 29 | 75 | 35 | 34 | 7 | 23 | 13 | 53 | 25 |
| 순서 | Step 5 | Step 1 | Step 3 | Step 2 | Step 4 |
Step 6. 다음으로 비용이 가장 작은 간선인 (2, 6)를 선택한다.
노드 2, 6은 같은 집합에 속해 있지 않으므로, 두 노드에 대하여 union 함수를 호출한다.

| 간선 | (1, 2) | (1, 5) | (2, 3) | (2, 6) | (3, 4) | (4, 6) | (4, 7) | (5, 6) | (6, 7) |
| 비용 | 29 | 75 | 35 | 34 | 7 | 23 | 13 | 53 | 25 |
| 순서 | Step 5 | Step 6 | Step 1 | Step 3 | Step 2 | Step 4 |
Step 7. 다음으로 비용이 가장 작은 간선인 (2, 3)을 선택한다.
노드 2, 3은 이미 동일한 집합에 포함되어 있으므로 신장 트리에 포함하지 않는다. 해당 간선은 그림에서 점선으로 표시한다.

| 간선 | (1, 2) | (1, 5) | (2, 3) | (2, 6) | (3, 4) | (4, 6) | (4, 7) | (5, 6) | (6, 7) |
| 비용 | 29 | 75 | 35 | 34 | 7 | 23 | 13 | 53 | 25 |
| 순서 | Step 5 | Step 7 | Step 6 | Step 1 | Step 3 | Step 2 | Step 4 |
Step 8. 다음으로 비용이 가장 작은 간선인 (5, 6)를 선택한다.
노드 5, 6은 같은 집합에 속해 있지 않으므로, 두 노드에 대하여 union 함수를 호출한다.

| 간선 | (1, 2) | (1, 5) | (2, 3) | (2, 6) | (3, 4) | (4, 6) | (4, 7) | (5, 6) | (6, 7) |
| 비용 | 29 | 75 | 35 | 34 | 7 | 23 | 13 | 53 | 25 |
| 순서 | Step 5 | Step 7 | Step 6 | Step 1 | Step 3 | Step 2 | Step 8 | Step 4 |
Step 9. 다음으로 비용이 가장 작은 간선인 (1, 5)를 선택한다.
노드 1, 5는 이미 동일한 집합에 포함되어 있으므로 신장 트리에 포함하지 않는다. 해당 간선은 그림에서 점선으로 표시한다.

| 간선 | (1, 2) | (1, 5) | (2, 3) | (2, 6) | (3, 4) | (4, 6) | (4, 7) | (5, 6) | (6, 7) |
| 비용 | 29 | 75 | 35 | 34 | 7 | 23 | 13 | 53 | 25 |
| 순서 | Step 5 | Step 9 | Step 7 | Step 6 | Step 1 | Step 3 | Step 2 | Step 8 | Step 4 |
· 완성된 최소 신장 크리에 포함되어 있는 간선의 비용을 모두 더하면 150이다.
▶ 예시 - 최소 신장 트리를 만드는데 필요한 비용을 계산하는 크루스칼 알고리즘
/*
입력 예시
7 9
1 2 29
1 5 75
2 3 35
2 6 34
3 4 7
4 6 23
4 7 13
5 6 53
6 7 25
*/
public class KruskalExam {
public static void main(String[] args){
Scanner sc = new Scanner(System.in);
//노드의 개수와 간선(union 연산)의 개수 입력받기
int v = sc.nextInt();
int e = sc.nextInt();
//부모 테이블 초기화
int [] parent = new int[v+1];
//모든 간선을 담을 리스트와 최종 비용을 담을 변수
ArrayList<Edge> edges = new ArrayList<>();
int result = 0;
//부모 테이블상에서, 부모를 자기 자신으로 초기화
IntStream.rangeClosed(1, v).forEach(i -> parent[i] = i);
//모든 간선에 대한 정보 입력
for(int i=0; i<e; i++){
int a = sc.nextInt();
int b = sc.nextInt();
int cost = sc.nextInt();
edges.add(new Edge(cost, a, b));
}
//간선을 비용순으로 정렬
Collections.sort(edges);
KruskalExam kruskal = new KruskalExam();
//간선을 하나씩 확인하며
for(int i=0; i<edges.size(); i++){
int cost = edges.get(i).getDistance();
int a = edges.get(i).getNodeA();
int b = edges.get(i).getNodeB();
if(kruskal.findParent(parent,a) != kruskal.findParent(parent,b)){
kruskal.unionParent(parent,a, b);
result += cost;
}
}
System.out.println("총 비용:"+result);
}
//특정 원소가 속한 집합 찾기
private int findParent(int[] parent, int x){
//루트 노드가 아니라면, 루트 노드를 찾을 때까지 재귀적으로 호출
if (parent[x] != x)
parent[x] = findParent(parent, parent[x]);
return parent[x];
}
//두 원소가 속한 집합을 합치기
private void unionParent(int []parent, int a, int b){
a = findParent(parent, a);
b = findParent(parent, b);
if (a<b){
parent[b] = a;
}else{
parent[a] = b;
}
}
}
class Edge implements Comparable<Edge>{
private int distance;
private int nodeA;
private int nodeB;
public Edge(int distance, int nodeA, int nodeB){
this.distance = distance;
this.nodeA = nodeA;
this.nodeB = nodeB;
}
public int getDistance(){
return this.distance;
}
public int getNodeA(){
return this.nodeA;
}
public int getNodeB(){
return this.nodeB;
}
//거리(비용)이 짧을 수록 높은 우선순위
@Override
public int compareTo(Edge other){
return this.distance - other.distance;
}
}

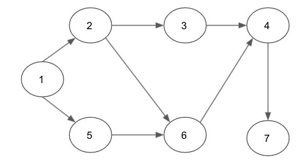
위상 정렬
· 방향 그래프의 모든 노드를 방향성에 거스르지 않도록 순서대로 나열하는 것
- ex) '자료구조', '알고리즘', '고급 알고리즘' 세 가지 과목이 있을 때
'알고리즘'의 선수 과목이 '자료구조', '고급 알고리즘'의 선수 과목이 '알고리즘'이라면,
'자료구조' -> '알고리즘' -> '고급 알고리즘' 순서로 강의를 수강해야 함
· 순서가 정해져 있는 일련의 작업을 차례대로 수행해야 할 때 사용할 수 있는 알고리즘
- 그래프상에 선후 관계가 있다면, 위상 정렬을 수행하여 모든 선후 관계를 지키는 전체 순서를 계산할 수 있음
· 정렬 알고리즘의 일종
· 동작 원리:
1. 진입차수가 0인 노드를 큐이 넣기
2. 큐가 빌 때까지 다음의 과정을 반복
1) 큐에서 원소를 꺼내 해당 노드에서 출발하는 간선을 그래프에서 제거
2) 새롭게 진입차수가 0이 된 노드를 큐에 넣기
· 큐가 빌 때까지 원소를 계속 꺼내서 처리하는 과정을 반복하고,
모든 원소를 방문하기 전에 큐가 빈다면 사이클이 존재한다고 판단 가능
- 사이클이 존재하는 경우 사이클에 포함되어 있는 원소 중에서 어떠한 원소도 큐에 들어가지 못하기 때문이다.
· 단, 기복적으로 위상 정렬 문제에서는 사이클이 발생하지 않는다고 명시하는 경우가 더 많아,
여기서는 사이클이 발생하는 경우는 고려하지 않음
TODO: 사이클이 발생하는 연습문제(실전)
· 진입차수(indegree): 특정한 노드로 들어오는 간선의 개수
- ex) 위 예시의 '고급 알고리즘'의 진입 차수는 2이다.
▶ 예시

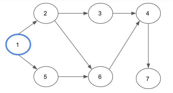
Step 0. 초기 단계에서 진입차수가 0인 노드를 큐에 넣는다. 현재 노드 1의 진입차수만 0이므로, 큐에 노드 1만 삽입한다.

| 노드 | 1 | 2 | 3 | 4 | 5 | 6 | 7 |
| 진입차수 | 0 | 1 | 1 | 2 | 1 | 2 | 1 |
| 큐 | 노드 1 |
Step 1. 큐에 들어 있는 노드 1을 꺼내고, 노드 1과 연결된 간선을 제거한다.
새롭게 노드 2와 노드 5의 진입차수가 0이 되므로, 해당 노드들을 큐에 삽입한다.

| 노드 | 1 | 2 | 3 | 4 | 5 | 6 | 7 |
| 진입차수 | 0 | 0 | 1 | 2 | 0 | 2 | 1 |
| 큐 | 노드 2, 노드 5 |
Step 2. 큐에 들어 있는 노드 2를 꺼내고, 노드 2와 연결된 간선을 제거한다.
새롭게 노드3의 집입차수가 0이 되므로, 해당 노드를 큐에 삽입한다.

| 노드 | 1 | 2 | 3 | 4 | 5 | 6 | 7 |
| 진입차수 | 0 | 0 | 0 | 2 | 0 | 1 | 1 |
| 큐 | 노드 5, 노드 3 |
Step 3. 큐에 들어 있는 노드 5를 꺼내고, 노드 5와 연결된 간선을 제거한다.
새롭게 노드6의 집입차수가 0이 되므로, 해당 노드를 큐에 삽입한다.

| 노드 | 1 | 2 | 3 | 4 | 5 | 6 | 7 |
| 진입차수 | 0 | 0 | 0 | 2 | 0 | 0 | 1 |
| 큐 | 노드3, 노드 6 |
Step 4. 큐에 들어 있는 노드 3을 꺼내고, 노드 3와 연결된 간선을 제거한다.
새롭게 진입차수가 0이 되는 노드가 없으므로 그냥 넘어간다.

| 노드 | 1 | 2 | 3 | 4 | 5 | 6 | 7 |
| 진입차수 | 0 | 0 | 0 | 1 | 0 | 0 | 1 |
| 큐 | 노드 6 |
Step 5. 큐에 들어 있는 노드 6을 꺼내고, 노드 4와 연결된 간선을 제거한다.
새롭게 노드4의 집입차수가 0이 되므로, 해당 노드를 큐에 삽입한다.

| 노드 | 1 | 2 | 3 | 4 | 5 | 6 | 7 |
| 진입차수 | 0 | 0 | 0 | 0 | 0 | 0 | 1 |
| 큐 | 노드 4 |
Step 6. 큐에 들어 있는 노드 4을 꺼내고, 노드 4와 연결된 간선을 제거한다.
새롭게 노드7의 집입차수가 0이 되므로, 해당 노드를 큐에 삽입한다.

| 노드 | 1 | 2 | 3 | 4 | 5 | 6 | 7 |
| 진입차수 | 0 | 0 | 0 | 0 | 0 | 0 | 0 |
| 큐 | 노드 7 |
Step 7. 큐에 들어 있는 노드 7을 꺼내고, 노드 7과 연결된 간선을 제거한다.
새롭게 진입차수가 0이 되는 노드가 없으므로 그냥 넘어간다.

| 노드 | 1 | 2 | 3 | 4 | 5 | 6 | 7 |
| 진입차수 | 0 | 0 | 0 | 0 | 0 | 0 | 0 |
| 큐 |
위 과정을 수행하는 동안 큐에서 빠져나간 노드를 순서대로 출력하면, 위상 정렬을 수행한 결과가 된다.
이때, 한 단계에서 큐에 새롭게 들어가는 원소가 2개 이상인 경우 여러 가지 답이 존재하게 된다.
▶ 예시 - 위상 정렬 알고리즘
/* 위상 정렬 알고리즘
*
입력 예시
7 8
1 2
1 5
2 3
2 6
3 4
4 7
5 6
6 4
*
*/
public class TopologicalSortingExam {
// 노드의 개수(v)와 간선의 개수(E)
// 노드의 개수는 최대 100,000개라고 가정
public static int v, e;
// 모든 노드에 대한 진입차수는 0으로 초기화
public static int[] indegree = new int[100001];
// 각 노드에 연결된 간선 정보를 담기 위한 연결 리스트 초기화
public static ArrayList<ArrayList<Integer>> graph = new ArrayList<>();
// 위상 정렬 함수
public static void topologySort() {
ArrayList<Integer> result = new ArrayList<>(); // 알고리즘 수행 결과를 담을 리스트
Queue<Integer> q = new LinkedList<>(); // 큐 라이브러리 사용
// 처음 시작할 때 진입차수가 0인 노드를 큐에 삽입
for(int i = 1; i <= v; i++){
if(indegree[i] == 0){
q.offer(i);
}
}
// 큐가 빌 때까지 반복
while (!q.isEmpty()){
// 큐에서 원소 꺼내기
int now = q.poll();
result.add(now);
// 해당 원소와 연결된 노드들의 진입차수에서 1 빼기
ArrayList<Integer> linkedNodes = graph.get(now); // 해당 원소와 연결된 노드리스트
for (int i = 0; i < linkedNodes.size(); i++){
indegree[linkedNodes.get(i)] --;
// 새롭게 진입차수가 0이 되는 노드를 큐에 삽입
if (indegree[linkedNodes.get(i)] == 0 ){
q.offer(linkedNodes.get(i));
}
}
}
// 위상 정렬을 수행한 결과 출력
for(int i = 0; i < result.size(); i++){
System.out.print(result.get(i) + " ");
}
}
public static void main(String[] args) {
// 노드의 개수와 간선의 개수 입력
Scanner sc = new Scanner(System.in);
v = sc.nextInt();
e = sc.nextInt();
// 그래프 초기화
for (int i = 0; i <= v; i++){
graph.add(new ArrayList<Integer>());
}
// 방향 그래프의 모든 간선 정보를 입력 받기
for(int i = 0; i < e; i++){
int a = sc.nextInt();
int b = sc.nextInt();
graph.get(a).add(b); // 정점 A에서 B로 이동 가능
// 진입 차수 1 증가
indegree[b]++;
}
topologySort();
}
}

'알고리즘&코딩테스트' 카테고리의 다른 글
| [Algorithm] 구현 문제란? (0) | 2021.11.06 |
|---|---|
| [Algorithm] 그리디 알고리즘(Greedy Algorithm)이란? (0) | 2021.11.04 |
| [Algorithm] 최단 경로를 찾는 알고리즘 (다익스트라, 플로이드 워셜) (1) | 2021.10.17 |
| [Algorithm] 이것이 코딩테스트다 - 이진탐색 문제풀이(with 자바) (0) | 2021.09.13 |
| [Algorithm] 순차 탐색과 이진 탐색 (0) | 2021.09.06 |
댓글